相对标准偏差计算器是一款非常好用的数学计算小工具,它能非常简单的计算出相对平均偏差,相对标准偏差的参数,学统计的筒子们快来IT猫扑下载吧!
相对标准偏差计算软件介绍
相对标准偏差计算软件是一款简单实用的标准偏差计算器器,用于计算标准偏差、相对平均偏差及相对标准偏差RSD%,在软件上方的方框中输入数据,不同的数据间请用空格或回车隔开。
什么是相对标准偏差
相对标准偏差(RSD,relative standard deviation)就是指:标准偏差与计算结果算术平均值的比值。
相对标准偏差(RSD)=标准偏差(SD)/计算结果的算术平均值(X)*100%
该值通常用来表示分析测试结果的精密度,
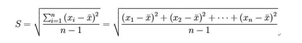
其中标准偏差(SD)

公式中
S-标准偏差(单位与样本单位相同)
n-试样总数或测量次数,一般n值不应少于5个
i-物料中某成分的各次测量值,1~n;